帕金森治愈迎来分水岭:Nature双证实iPSC多巴胺疗法开启神经再生产业化时代
帕金森病(PD)全球患者逾千万且逐年递增。临床上,左旋多巴替代疗法结合脑深部电刺激(DBS)疗法是现有PD治疗“金指标”,但其二者仅能缓解早期症状,无法阻止黑质多巴胺能神经元持续凋亡。再生医学提出对因替换思路,即将“活的、会分泌多巴胺的细胞”重新“种”回纹状体,从根本上重建神经环路。细胞治疗更侧重于从病因上恢复神经功能,是目前最有前景的PD治疗策略之一。
近年来干细胞再生医学取得爆发式进展,PD的细胞治疗从40年前细胞来源有限、伦理受阻的小规模概念验证阶段,到如今进入了规模化、标准化的“第二代”临床转化阶段[1]。
近日,《Nature》同期刊发分别来自拜耳集团和京都大学的两项独立临床研究,首次以高分级证据确立hESC及iPSC来源细胞替代帕金森病多巴胺能神经元的临床可行性,为规模化治疗奠定里程碑:
拜耳集团旗下的BlueRock Therapeutic发表了其研发的BRT - DA01(hESC来源的多巴胺能神经元祖细胞产品)Ⅰ期双盲试验结果:12例中重度患者双侧移植高剂量细胞后18个月MDS-UPDRS-III降低23分、关期日减2.7h,无移植物运动障碍;FDA据此授予其再生医学先进疗法(RMAT)资格,允许跳过Ⅱ期,直接进入Ⅲ期注册临床,预计2026年申报上市,成为全球最快进入Ⅲ期帕金森细胞疗法[2]。

图注:BRT - DA01植入18个月运动功能评分
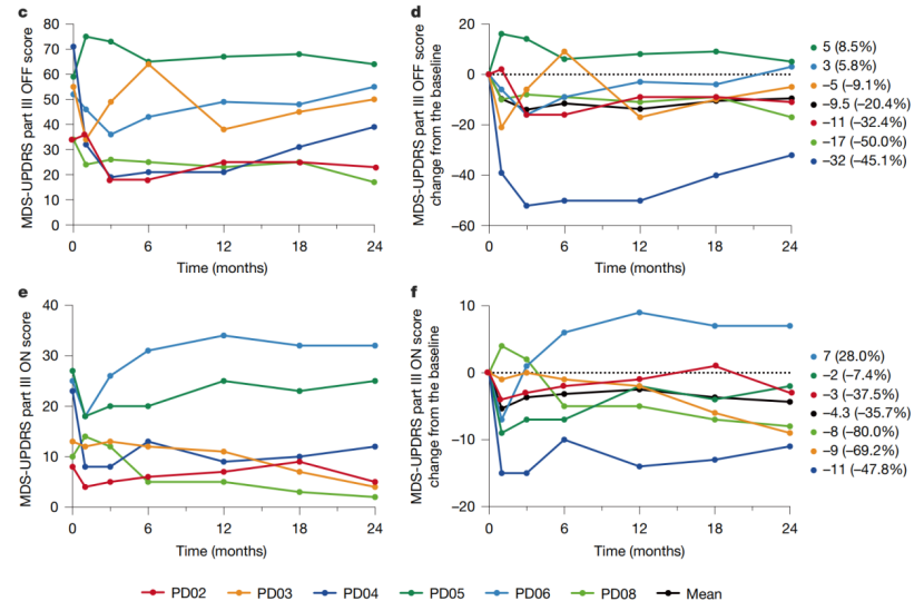
京都大学团队同期发表了HLA配型异体iPSC衍生的多巴胺能祖细胞细胞对7例十年以上患者行单侧壳核移植的研究结果:24个月随访显示,患者多巴胺前体(18F-DOPA PET)摄取升56%,患者运动症状评分(MDS-UPDRS-III量表)“关”期降38%,首次证明iPSC来源的产品可长期安全存活并发挥生理功能[3]。

图注:iPSC来源诱导的多巴胺能祖细胞移植24个月运动功能评分
为更好地支撑细胞治疗在帕金森疾病中的研究,集萃药康分别在Nude rat及自主研发的重度免疫缺陷大鼠SD-Rag2/II2rg-KO上进行了6-OHDA诱导的PD大鼠模型构建,为帕金森细胞治疗提供更多稳定高效的研究工具。

两种PD模型大鼠阿普吗啡诱导旋转“金指标”验证(成模标准:30 min内旋转大于210圈);

造模侧黑质和纹状体多巴胺能神经元丢失特征(左侧:造模侧; 右侧:健康侧)
两项研究的同步成功,不仅验证了多能干细胞分化的多巴胺神经元能够长期存活、功能整合并显著改善病程超十年患者的运动症状,更标志着帕金森病治疗范式正从对症干预迈向对因修复的全新阶段。随着BlueRock公司与京都大学路线分别瞄准异体通用型与个体化配型治疗,产业化路径已清晰可见。下一步,大规模生产标准化、移植技术优化及长期免疫耐受仍是挑战,但无疑,细胞疗法已为帕金森病治愈按下不可逆的快进键。
参考文献
[1] 陈洁纯,黎明涛,and 马珊珊."帕金森病细胞替代治疗的现状及进展."广州医药 1-16.
[2] Tabar V, Sarva H, Lozano AM, Fasano A, Kalia SK, Yu KKH, Brennan C, Ma Y, Peng S, Eidelberg D, Tomishima M, Irion S, Stemple W, Abid N, Lampron A, Studer L, Henchcliffe C. Phase I trial of hES cell-derived dopaminergic neurons for Parkinson's disease. Nature. 2025 May;641(8064):978-983. doi: 10.1038/s41586-025-08845-y. Epub 2025 Apr 16. PMID: 40240592; PMCID: PMC12095069.
[3] Sawamoto N, Doi D, Nakanishi E, Sawamura M, Kikuchi T, Yamakado H, Taruno Y, Shima A, Fushimi Y, Okada T, Kikuchi T, Morizane A, Hiramatsu S, Anazawa T, Shindo T, Ueno K, Morita S, Arakawa Y, Nakamoto Y, Miyamoto S, Takahashi R, Takahashi J. Phase I/II trial of iPS-cell-derived dopaminergic cells for Parkinson's disease. Nature. 2025 May;641(8064):971-977. doi: 10.1038/s41586-025-08700-0. Epub 2025 Apr 16. PMID: 40240591; PMCID: PMC12095070.
